Met een scherpe mindset rondom biest is veel winst te behalen. Biest is dé gouden sleutel voor een sterke start van ieder kalf. In dit artikel lees je waarom dat zo is.

Het kan een uitdaging zijn om kalveren sterk en gezond de eerste 14 dagen door te krijgen, zeker bij hoge temperaturen. Pasgeboren kalveren zijn extra vatbaar voor ziektekiemen uit de omgeving. Daardoor kan diarree of een longontsteking al op jonge leeftijd de kop opsteken.
Om ieder kalf de beste start te geven is de combinatie van een goede droogstand, het juiste biestmanagement protocol, de hygiëne rondom de geboorte, de afkalfstal en het gebruik van éénlingboxen van essentieel belang. Zo zorg je voor een zo laag mogelijke ziektedruk wat resulteert in een optimale weerstand.
Antistoffen opnemen uit biest: hoe zit het ook alweer?
Kalveren nemen op hun geboortedag via de biest antistoffen (IgG’s) op die via de darmwand in de bloedsomloop komen. Een IgG bindt zich met één kant aan de bacteriën en virussen, en met de andere kant aan een immuuncel die helpt om de bacterie of het virus op te ruimen. Dit doet de immuuncel door het virus of de bacterie zelf te doden, of door hulptroepen te activeren om de ongewenste bezoeker te doden.
Om het kalf optimaal te beschermen tegen virussen en bacteriën is het van groot belang om in de eerste uren na de geboorte een zo hoog mogelijke IgG opname te realiseren. Hoe dat zit, lees je hieronder.

Hoogste antistofopname direct na de geboorte
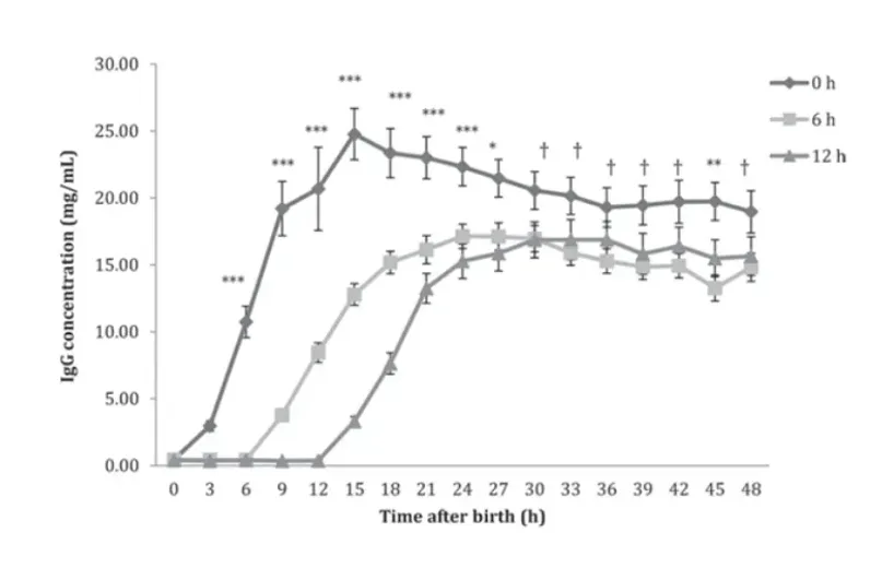
Hoe hoger de IgG opname in de eerste uren na de geboorte, hoe sterker en langer de bescherming. De studie van Fischer et al., (2018) geeft dit mooi weer in onderstaande grafiek. In deze studie werd de IgG concentratie onderzocht in het bloed van drie groepen kalveren:
- een groep kalveren die een eerste biestvoeding direct na geboorte kreeg
- een groep die pas na 6 uur biest kreeg
- een groep die pas na 12 uur biest kreeg
De IgG concentratie in het bloed was het hoogste bij de kalveren die direct na de geboorte biest kregen. Deze kalveren zijn direct beschermd tegen ziektekiemen uit de omgeving en krijgen tevens de energie die ze nodig hebben om op te warmen.
Zie hieronder in de grafiek het effect van het vertragen van biestvoeding op passieve overdracht en darmbacteriële kolonisatie bij Holstein kalveren.

Effect of delaying colostrum feeding on passive transfer and intestinal bacterial colonization in neonatal male Holstein calves
Uit andere onderzoeken blijkt tevens dat kalveren die later in de tijd biest krijgen, tot die tijd onbeschermd bloot staan aan ziektekiemen. Na enkele uren zijn deze kalveren al door hun energiereserves heen.
Het belang van goed biestmanagement
Dit onderstreept het belang van zo snel mogelijk biest verstrekken in de praktijk, via een speen, direct na de geboorte. Wij adviseren om bij voorkeur binnen half uur maar toch zeker binnen 2 uur voldoende biest te verstrekken. Je zult merken dat het kalf dan gemakkelijker 3-4 liter biest weg drinkt. Biestvet is immers de belangrijkste energiebron voor het pasgeboren kalf.
Nog niet overtuigd of wil je meer weten? Uiteraard mag je ons ook altijd bellen of mailen voor meer informatie: info@qualitycalf.nl / +31 (0)6 468 868 69.
Meer lezen over biest? Lees ons artikel over 'Repareren aan de voorkant'.
Wil je meer weten over Quality Calf?
Onze unieke werkwijzeGerelateerde blogs
Blog overzicht
Waarom de refractometer onmisbaar is voor elke melkveehouder


Het belang van goed biestmanagement (+ tips voor optimale biestvoorziening)


Biestvervanger met maar één ingrediënt: biest


Waarom de refractometer onmisbaar is voor elke melkveehouder

leestijd 1 min

Het belang van goed biestmanagement (+ tips voor optimale biestvoorziening)

leestijd 10 min

Biestvervanger met maar één ingrediënt: biest

leestijd 4 min

Duurzame kalveropfok met maximaal rendement
Wij bieden een unieke combinatie van advies op maat en private label producten
